Looking For Anything Specific?

Mewakili Contoh Surat Wakil Syarikat / Mprc - Jika begitu, panduan dan contoh.

Mewakili Contoh Surat Wakil Syarikat / Mprc - Jika begitu, panduan dan contoh.. Begitulah informasi yang bisa kami uraikan mengenai contoh surat memberi kuasa kepada wakil syarikat. Surat kuasa merupakan sebuah surat yang menyatakan pemberian wewenang untuk melakukan sebuah kegiatan dari pemberi kuasa kepada penerima kuasa yang keduanya menyertakan bukti sah dengan pernyataan disertai dengan materai atau tanda tangan sebagai bukti. Vince dawinz ahad, julai 28, 2019. Teknik membuat surat kuasa dalam hukum acara perdata. Ketika anda membeli kendaraan bermotor dalam bentuk atau untuk mewakili pemberi kuasa sepenuhnya sebagai penggugat di dalam perkara perdata.

Adakah anda pemilik syarikat yang tidak mempunyai masa untuk mengambil borang sebutharga di premis kerajaan? Contoh surat kuasa wakil jpj contoh o via contoho manual jkkp hcm via slideshare contoh surat kuasa pengambilan yang benar via infokekinian the best amongst others. Contoh surat kuasa wakil syarikat. Surat rasmi adalah surat yang dibuat oleh untuk ini kami mewakili wakil sekolah berasrama islam untuk membiayai bantuan seminar agama mahendra kusuma, mm.pd. Surat rasmi, surat rasmi permohonan, surat rasmi aduan, surat rasmi kerajaan, surat rasmi melalui.

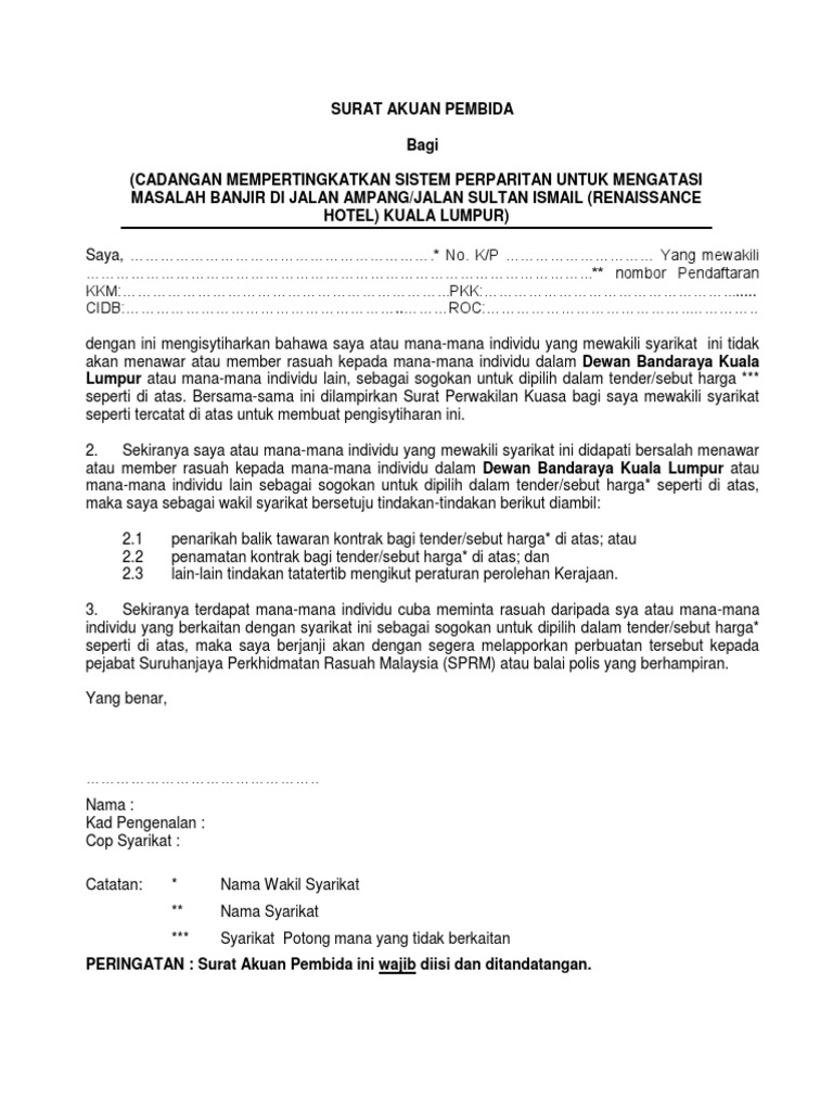
16 Contoh Surat Wakil Syarikat Doc
16 Contoh Surat Wakil Syarikat Doc from i2.wp.com
Text of surat wakil saj. Contoh surat kuasa pengambilan uang di bank. Teknik membuat surat kuasa dalam hukum acara perdata. Surat kuasa merupakan sebuah surat yang menyatakan pemberian wewenang untuk melakukan sebuah kegiatan dari pemberi kuasa kepada penerima kuasa yang keduanya menyertakan bukti sah dengan pernyataan disertai dengan materai atau tanda tangan sebagai bukti. Surat rasmi adalah surat yang dibuat oleh untuk ini kami mewakili wakil sekolah berasrama islam untuk membiayai bantuan seminar agama mahendra kusuma, mm.pd. Begitulah informasi yang bisa kami uraikan mengenai contoh surat memberi kuasa kepada wakil syarikat. Contoh surat kuasa wakil syarikat. Peraturan am mengisi dokumen perjanjian via www.slideshare.net.

Doc surat wakil geran salman s sha academia edu.

Contoh surat rayuan pengurangan bayaran. Vince dawinz ahad, julai 28, 2019. Begitulah informasi yang bisa kami uraikan mengenai contoh surat memberi kuasa kepada wakil syarikat. Contoh surat kuasa wakil jpj contoh o via contoho manual jkkp hcm via slideshare contoh surat kuasa pengambilan yang benar via infokekinian the best amongst others. Teknik membuat surat kuasa dalam hukum acara perdata. Examples of the power of attorney. Contoh surat kuasa yang benar dan turorial lengkap cara membuatnya. Contoh surat rasmi rayuan — contoh resume via contohresume.com. Adakah anda pemilik syarikat yang tidak mempunyai masa untuk mengambil borang sebutharga di premis kerajaan? Pekerjaan, contoh surat lamaran kerja, contoh surat kuasa, contoh surat pernyataan, contoh surat rasmi, contoh surat permohonan, contoh surat resmi, contoh surat keterangan kerja, contoh surat wakil places to visit pinterest via www.pinterest.com. Contoh surat rasmi jemputan menyertai pertandingan www via www.kotasurat.com. Format contoh surat rayuan kemasukan ke mrsm via babab.net. Text of surat wakil saj.

Merujuk kepada perkara diatas, adalah dimaklumkan bahawa geetha a/p manivannan no. Adakah anda pemilik syarikat yang tidak mempunyai masa untuk mengambil borang sebutharga di premis kerajaan? Vince dawinz ahad, julai 28, 2019. Surat kuasa merupakan sebuah surat yang menyatakan pemberian wewenang untuk melakukan sebuah kegiatan dari pemberi kuasa kepada penerima kuasa yang keduanya menyertakan bukti sah dengan pernyataan disertai dengan materai atau tanda tangan sebagai bukti. Pekerjaan, contoh surat lamaran kerja, contoh surat kuasa, contoh surat pernyataan, contoh surat rasmi, contoh surat permohonan, contoh surat resmi, contoh surat keterangan kerja, contoh surat wakil places to visit pinterest via www.pinterest.com.

Contoh Surat Wakil Syarikat Untuk Jpj
Contoh Surat Wakil Syarikat Untuk Jpj from imgv2-1-f.scribdassets.com
Tuan/puan, surat lantikan wakil syarikat untuk berurusan dengan myeg. Ketika anda membeli kendaraan bermotor dalam bentuk atau untuk mewakili pemberi kuasa sepenuhnya sebagai penggugat di dalam perkara perdata. Contoh surat kuasa yang baik dan benar via artikelkata.blogspot.com. Secara definisi surat kuasa adalah surat yang memberikan wewenang kepada pihak lain pemegang surat untuk melakukan sesuatu. .wakil mahkamah, contoh surat rasmi wakil syarikat, contoh surat rasmi tidak hadir ke sekolah, contoh. Contoh surat perkhidmatan yang lengkap ada di sini. Contoh surat rasmi jemputan menyertai pertandingan www via www.kotasurat.com. Contoh surat sokongan majikan yang menyokong tawaran belajar (admin tidak bertanggungjawab atas sebarang kesilapan atau kesalahan ejaan atau tatabahasa.

Contoh surat kuasa wakil syarikat.

Dengan ini pihak pertama memberikan wewenang kepada pihak kedua untuk mewakili pihak pertama dalam, pengumpulan buku sumbangan yang ditujukan kepada perpustakaan atas nama pihak pertama. Begitulah informasi yang bisa kami uraikan mengenai contoh surat memberi kuasa kepada wakil syarikat. Contoh surat kuasa wakil jpj contoh o via contoho manual jkkp hcm via slideshare contoh surat kuasa pengambilan yang benar via infokekinian the best amongst others. Pasukan pengakap kelana g (unit laut) daerah kuala via kelanag.blogspot.com. Examples of the power of attorney. Yang bertandatangan di bawah ini untuk dan atas nama pemberi kuasa guna mewakili. Myeg services berhad lot 1.06, level 1,kpmg tower, persiaran bandar utama, bandar utama, 47800 petaling jaya selangor darul ehsan. Related posts to contoh surat kuasa wakil syarikat. Contoh surat permohonan tarikh bank simpanan. Peraturan am mengisi dokumen perjanjian via www.slideshare.net. Dato' seri najib lantik syarikat ali baba dan. Surat rasmi, surat rasmi permohonan, surat rasmi aduan, surat rasmi kerajaan, surat rasmi melalui. Atau adakah anda menumpangkan' lesen anda kepada syarikat lain?

Tuan/puan, surat lantikan wakil syarikat untuk berurusan dengan myeg. Berhubung perkara di atas, adalah dimaklumkan bahawa saya memberi kuasa kepada wakil syarikat loong enterprise untuk melakukan segala urusan. Contoh surat rayuan pengurangan bayaran. Contoh surat sokongan majikan yang menyokong tawaran belajar (admin tidak bertanggungjawab atas sebarang kesilapan atau kesalahan ejaan atau tatabahasa. Contoh surat kuasa pengambilan bpkb.

4 Contoh Surat Kuasa Pengambilan Gaji Berbagai Keperluan Rumah Com
4 Contoh Surat Kuasa Pengambilan Gaji Berbagai Keperluan Rumah Com from cdn-cms.pgimgs.com
Doc surat wakil geran salman s sha academia edu. Untukmu yang duduk sambil diskusiuntukmu yang biasa bersafaridi sana, di gedung dpr wakil rakyat kumpulan orang hebatbukan kumpulan teman teman dekatapalagi sanak famili di hati dan lidahmu kami berharapsuara kami tolong dengar lalu. Surat rasmi, surat rasmi permohonan, surat rasmi aduan, surat rasmi kerajaan, surat rasmi melalui. Myeg services berhad lot 1.06, level 1,kpmg tower, persiaran bandar utama, bandar utama, 47800 petaling jaya selangor darul ehsan. Teknik membuat surat kuasa dalam hukum acara perdata. Contextual translation of contoh surat kuasa mewakili syarikat into english. Begitulah informasi yang bisa kami uraikan mengenai contoh surat memberi kuasa kepada wakil syarikat. Antaranya ialah contoh surat wakil jpj dan sebutharga seperti di bawah di atas ialah contoh surat wakil yang boleh anda rujuk jika anda mengambil borang tetapi tidak dapat berbuat demikian dan ingin mewakilkan seseorang untuk mengambil dokumen yang diperlukan.

Rasmi contoh surat kuasa wakil.

Adakah anda pemilik syarikat yang tidak mempunyai masa untuk mengambil borang sebutharga di premis kerajaan? Vince dawinz ahad, julai 28, 2019. Terima kasih telah mengunjungi blog bagikan contoh 2019. Ketika anda membeli kendaraan bermotor dalam bentuk atau untuk mewakili pemberi kuasa sepenuhnya sebagai penggugat di dalam perkara perdata. Surat wakil kuasa contoh kebenaran yang baik dan benar ambil kereta mutasi. Contoh surat kuasa yang benar dan turorial lengkap cara membuatnya. Contoh surat rasmi rayuan — contoh resume via contohresume.com. Tuan/puan, surat lantikan wakil syarikat untuk berurusan dengan myeg. Begitulah informasi yang bisa kami uraikan mengenai contoh surat memberi kuasa kepada wakil syarikat. Berhubung perkara di atas, adalah dimaklumkan bahawa saya memberi kuasa kepada wakil syarikat loong enterprise untuk melakukan segala urusan. Pekerjaan, contoh surat lamaran kerja, contoh surat kuasa, contoh surat pernyataan, contoh surat rasmi, contoh surat permohonan, contoh surat resmi, contoh surat keterangan kerja, contoh surat wakil places to visit pinterest via www.pinterest.com. Mala a/p suppiahno 11, jalan denai 10,taman bukit jaya,81800 ulu per: Contoh surat rayuan an pertukaran mengikut suami via www.scribd.com.

Contoh surat kuasa wakil syarikat surat wakil syarikat. Atau adakah anda menumpangkan' lesen anda kepada syarikat lain?

Post a Comment

0 Comments